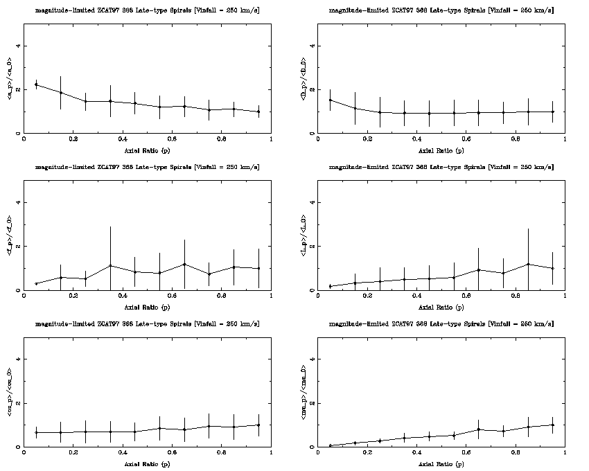
Figure 6: Inclination Effects on Magnitude-Limited Sample

These plots illustrate the effect of inclination on angular diameter (a), linear diameter (D), flux (f), absolute luminosity (L), distance (cz), and surface brightness (mu) for a magnitude-limited (mag < 16) sample of late-type galaxies using APS diameters and ZCAT (April 97) redshifts, corrected for the Virgo infall (corrections from 250 to 450 km/s made no substantive difference to the trends witnessed here).